企业资质
- 象山欧迅船舶设备有限公司
-
- 卖家等级:
- 主营业务: 船配
- 所在地区:
- 联系人:陈仁孝
- 企业身份认证
- 企业实地认证
- 好评率:100%
- 关注供应商
产品排行榜
-
CLZ系列船用立式轴流通风机 10000
-
CZF船用轴流通风机排风机 1000
-
- 产品详情
- 成交0
- 评价0
品牌 型号
CZF系列船用轴流通风机是按照国家标准GBll864-89《船用轴流通风机》、现行《钢质海船入级和建造规范》、现行《中国人民解放军海军舰船建造规范》中的规定和要求进行设计制造。
产品经中华人民共和国船级社(CCS)检验合格,取得了产品船检认可证书。并得到舰船装备与研制的权威机构认可。
CZF系列通风机可输送空气、含有盐雾的海洋空气和含有油雾等腐蚀性空气。适用于军船与民船上各种舱室的通风换气,也适用于局部冷却降温,还适用于陆上其它适当场所。CZF系列通风机可配用50HZ,380V或60HZ,440V y-J系列舰用三相异步电动机或y-H系列船用三相异步电动机。
工作条件:环境温度:-25~+55℃
空气相对湿度:不大于95%
周期性摇摆:22.5~45度 (摇摆周期5~10S)
持续横倾:15度
持续纵倾:10度
振动:有
冲击:有
特点:可逆转、空气动力性能好、防腐性好、抗摇摆、振动和冲击性强。
结构特点:通风机制成电动机置于机壳内的结构,叶轮直接装在电动机轴上。
叶轮由防腐铝合金浇铸制成,叶轮前面装有导流罩。
风机机壳采用钢板焊接结构,表面采取防腐处理,机壳进出口两端均有法兰,以便与进、出风管道用螺栓联接。机壳可根据需要制成整体式或沿轴向开启式结构。开启式机壳是将叶轮和电动机装在可开启的半机壳上,故便于现场检修和更换零部件。
通风机制成从电机端正视,叶轮按顺时针方向旋转。在使用中,允许通风机逆向旋转。
可立式或卧式安装在管道内,也可安装在甲板上。可用于抽风或送风。
按用户需要,CZF型通风机可配套提供风帽。
型号说明:通风机的型号以汉语拼音字母的字首、叶轮外径、电动机功率和转速等表示、示例如下:
C:舰船用
Z:轴流
F:风机
70:叶轮直径70cm数(圆整)
A:叶轮代号
K:开启式
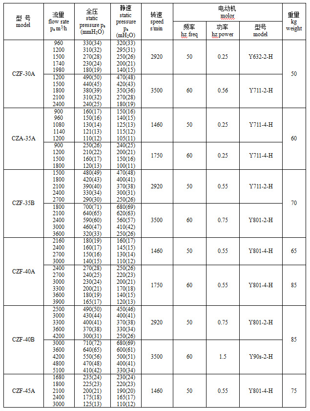
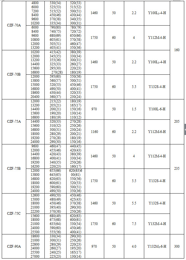
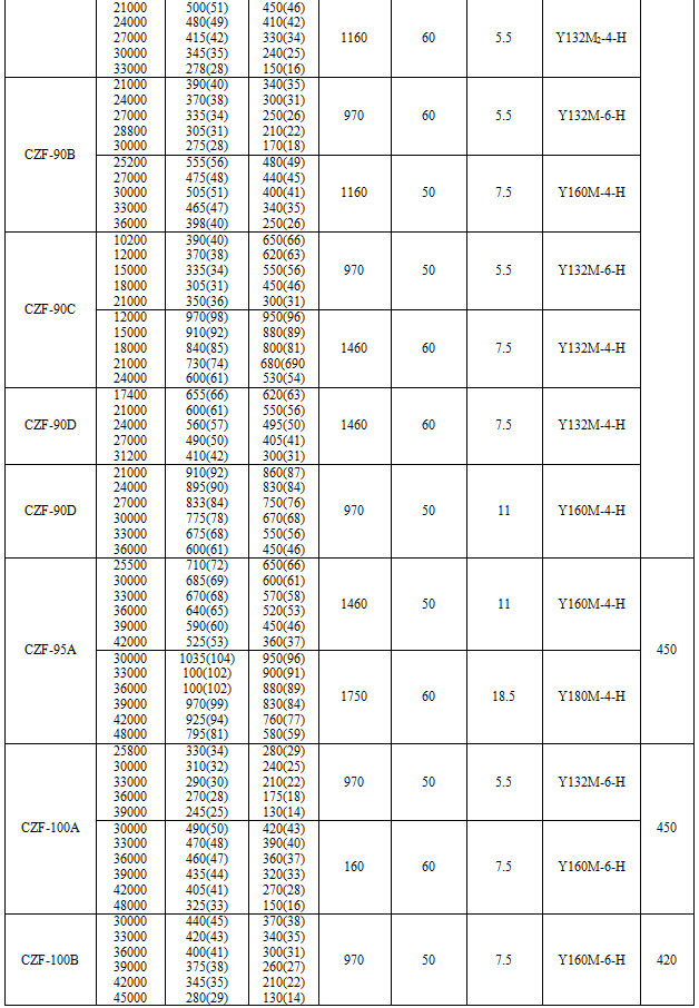
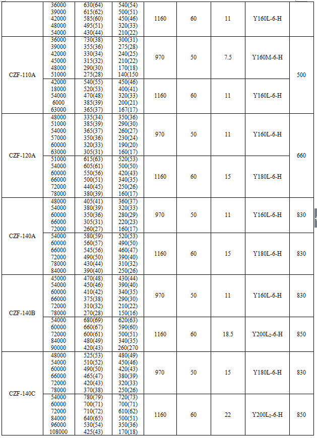
性能选用
表中性能是指标准大气状况(大气压力为101325Pa、温度为+20℃、 相对湿度为50%、密度为1.2Kg/m3)下的空气性能。
实际的气体状况和转速与表中所列不同时,通风机的性能可按下列各式换算:
Q=QO*n/ nO (m3/h)
P=P0(n/ nO)2*ρ/ρ0(Pa)
N=N0*(n/ nO)3*ρ/ρ0(KW)
式中,QO、P0、N0、ρ0 为标准大气状况和标准转速n。时的流量、压力、功率和气体密度。
Q、P、N、ρ、n为实际的流量、压力、功率、气体密度和转速。
标准流量下的全压值偏差允许为±10%。
订货须知
1、订货时请详细说明所订通风机的型号、流量、压力、转速、电动机功率以及是否需要进行船检等要求。
2、产品自出厂18个月内凡因制造质量等员应不能使用的,我厂实行包修、包退、包换。






成交0笔
产品与描述相符5分共0次评分
相关产品
-
CLZ系列船用立式轴流通风机 10000
-
CZF船用轴流通风机排风机 1000
-
-
舰船用离心通风机 面议
产品列表
-
CLZ系列船用立式轴流通风机 ¥10000
-
CZF船用轴流通风机排风机 ¥1000
-
CZ-JCZ-90A船用轴流风机CCS认证船用民用通风机 ¥FreeMarker template error (DEBUG mode; use RETHROW in production!): The following has evaluated to null or missing: ==> info['q1'] [in template "16/default/shop_store.html" at line 69, column 23] ---- Tip: It's the final [] step that caused this error, not those before it. ---- Tip: If the failing expression is known to be legally refer to something that's sometimes null or missing, either specify a default value like myOptionalVar!myDefault, or use [#if myOptionalVar??]when-present[#else]when-missing[/#if]. (These only cover the last step of the expression; to cover the whole expression, use parenthesis: (myOptionalVar.foo)!myDefault, (myOptionalVar.foo)?? ---- ---- FTL stack trace ("~" means nesting-related): - Failed at: ${info["q1"]} [in template "16/default/shop_store.html" at line 69, column 21] - Reached through: @InfoList nodeId="213" isIncludeChild... [in template "16/default/shop_store.html" at line 62, column 9] - Reached through: @InfoList p7=info.p7 limit="1"; list [in template "16/default/shop_store.html" at line 55, column 1] - Reached through: #include "shop_store.html" [in template "16/default/product_show.html" at line 146, column 9] ---- Java stack trace (for programmers): ---- freemarker.core.InvalidReferenceException: [... Exception message was already printed; see it above ...] at freemarker.core.InvalidReferenceException.getInstance(InvalidReferenceException.java:134) at freemarker.core.EvalUtil.coerceModelToTextualCommon(EvalUtil.java:451) at freemarker.core.EvalUtil.coerceModelToStringOrMarkup(EvalUtil.java:374) at freemarker.core.DollarVariable.calculateInterpolatedStringOrMarkup(DollarVariable.java:96) at freemarker.core.DollarVariable.accept(DollarVariable.java:59) at freemarker.core.Environment.visit(Environment.java:363) at freemarker.core.IteratorBlock$IterationContext.executedNestedContentForCollOrSeqListing(IteratorBlock.java:316) at freemarker.core.IteratorBlock$IterationContext.executeNestedContent(IteratorBlock.java:272) at freemarker.core.IteratorBlock$IterationContext.accept(IteratorBlock.java:243) at freemarker.core.Environment.visitIteratorBlock(Environment.java:596) at freemarker.core.IteratorBlock.acceptWithResult(IteratorBlock.java:108) at freemarker.core.IteratorBlock.accept(IteratorBlock.java:94) at freemarker.core.Environment.visit(Environment.java:363) at freemarker.core.Environment$NestedElementTemplateDirectiveBody.render(Environment.java:2802) at com.dips.core.web.directive.AbstractInfoListPageDirective.doExecute(AbstractInfoListPageDirective.java:254) at com.dips.core.web.directive.InfoListDirective.execute(InfoListDirective.java:23) at freemarker.core.Environment.visit(Environment.java:427) at freemarker.core.UnifiedCall.accept(UnifiedCall.java:101) at freemarker.core.Environment.visit(Environment.java:363) at freemarker.core.IteratorBlock$IterationContext.executedNestedContentForCollOrSeqListing(IteratorBlock.java:316) at freemarker.core.IteratorBlock$IterationContext.executeNestedContent(IteratorBlock.java:272) at freemarker.core.IteratorBlock$IterationContext.accept(IteratorBlock.java:243) at freemarker.core.Environment.visitIteratorBlock(Environment.java:596) at freemarker.core.IteratorBlock.acceptWithResult(IteratorBlock.java:108) at freemarker.core.IteratorBlock.accept(IteratorBlock.java:94) at freemarker.core.Environment.visit(Environment.java:363) at freemarker.core.Environment$NestedElementTemplateDirectiveBody.render(Environment.java:2802) at com.dips.core.web.directive.AbstractInfoListPageDirective.doExecute(AbstractInfoListPageDirective.java:254) at com.dips.core.web.directive.InfoListDirective.execute(InfoListDirective.java:23) at freemarker.core.Environment.visit(Environment.java:427) at freemarker.core.UnifiedCall.accept(UnifiedCall.java:101) at freemarker.core.Environment.visit(Environment.java:327) at freemarker.core.Environment.visit(Environment.java:333) at freemarker.core.Environment.include(Environment.java:2509) at freemarker.core.Include.accept(Include.java:171) at freemarker.core.Environment.visit(Environment.java:327) at freemarker.core.Environment.visit(Environment.java:333) at freemarker.core.Environment.process(Environment.java:306) at freemarker.template.Template.process(Template.java:386) at com.dips.common.file.LocalFileHandler.storeFile(LocalFileHandler.java:147) at com.dips.core.html.PInfo.doMakeHtml(PInfo.java:107) at com.dips.core.html.PInfo.makeHtml(PInfo.java:53) at com.dips.core.html.HtmlServiceImpl.makeInfo(HtmlServiceImpl.java:54) at com.dips.core.html.HtmlServiceImpl$$FastClassBySpringCGLIB$$43598d3d.invoke(
) at org.springframework.cglib.proxy.MethodProxy.invoke(MethodProxy.java:204) at org.springframework.aop.framework.CglibAopProxy$CglibMethodInvocation.invokeJoinpoint(CglibAopProxy.java:721) at org.springframework.aop.framework.ReflectiveMethodInvocation.proceed(ReflectiveMethodInvocation.java:157) at org.springframework.transaction.interceptor.TransactionInterceptor$1.proceedWithInvocation(TransactionInterceptor.java:99) at org.springframework.transaction.interceptor.TransactionAspectSupport.invokeWithinTransaction(TransactionAspectSupport.java:282) at org.springframework.transaction.interceptor.TransactionInterceptor.invoke(TransactionInterceptor.java:96) at org.springframework.aop.framework.ReflectiveMethodInvocation.proceed(ReflectiveMethodInvocation.java:179) at org.springframework.aop.framework.CglibAopProxy$DynamicAdvisedInterceptor.intercept(CglibAopProxy.java:656) at com.dips.core.html.HtmlServiceImpl$$EnhancerBySpringCGLIB$$8e9edf0a.makeInfo( ) at com.dips.core.service.impl.InfoServiceImpl.updateHtml(InfoServiceImpl.java:646) at com.dips.core.service.impl.InfoServiceImpl.updateHtml(InfoServiceImpl.java:610) at com.dips.core.service.impl.InfoServiceImpl.save(InfoServiceImpl.java:179) at com.dips.core.service.impl.InfoServiceImpl$$FastClassBySpringCGLIB$$efffa468.invoke( ) at org.springframework.cglib.proxy.MethodProxy.invoke(MethodProxy.java:204) at org.springframework.aop.framework.CglibAopProxy$CglibMethodInvocation.invokeJoinpoint(CglibAopProxy.java:721) at org.springframework.aop.framework.ReflectiveMethodInvocation.proceed(ReflectiveMethodInvocation.java:157) at org.springframework.transaction.interceptor.TransactionInterceptor$1.proceedWithInvocation(TransactionInterceptor.java:99) at org.springframework.transaction.interceptor.TransactionAspectSupport.invokeWithinTransaction(TransactionAspectSupport.java:282) at org.springframework.transaction.interceptor.TransactionInterceptor.invoke(TransactionInterceptor.java:96) at org.springframework.aop.framework.ReflectiveMethodInvocation.proceed(ReflectiveMethodInvocation.java:179) at org.springframework.aop.framework.CglibAopProxy$DynamicAdvisedInterceptor.intercept(CglibAopProxy.java:656) at com.dips.core.service.impl.InfoServiceImpl$$EnhancerBySpringCGLIB$$f0b7776b.save( ) at com.dips.core.web.back.InfoController.save(InfoController.java:656) at com.dips.core.web.back.InfoController$$FastClassBySpringCGLIB$$e091c9c1.invoke( ) at org.springframework.cglib.proxy.MethodProxy.invoke(MethodProxy.java:204) at org.springframework.aop.framework.CglibAopProxy$CglibMethodInvocation.invokeJoinpoint(CglibAopProxy.java:721) at org.springframework.aop.framework.ReflectiveMethodInvocation.proceed(ReflectiveMethodInvocation.java:157) at org.apache.shiro.spring.security.interceptor.AopAllianceAnnotationsAuthorizingMethodInterceptor$1.proceed(AopAllianceAnnotationsAuthorizingMethodInterceptor.java:82) at org.apache.shiro.authz.aop.AuthorizingMethodInterceptor.invoke(AuthorizingMethodInterceptor.java:39) at org.apache.shiro.spring.security.interceptor.AopAllianceAnnotationsAuthorizingMethodInterceptor.invoke(AopAllianceAnnotationsAuthorizingMethodInterceptor.java:115) at org.springframework.aop.framework.ReflectiveMethodInvocation.proceed(ReflectiveMethodInvocation.java:179) at org.springframework.aop.framework.CglibAopProxy$DynamicAdvisedInterceptor.intercept(CglibAopProxy.java:656) at com.dips.core.web.back.InfoController$$EnhancerBySpringCGLIB$$f7f04d49.save( ) at sun.reflect.GeneratedMethodAccessor1265.invoke(Unknown Source) at sun.reflect.DelegatingMethodAccessorImpl.invoke(DelegatingMethodAccessorImpl.java:43) at java.lang.reflect.Method.invoke(Method.java:606) at org.springframework.web.method.support.InvocableHandlerMethod.doInvoke(InvocableHandlerMethod.java:205) at org.springframework.web.method.support.InvocableHandlerMethod.invokeForRequest(InvocableHandlerMethod.java:133) at org.springframework.web.servlet.mvc.method.annotation.ServletInvocableHandlerMethod.invokeAndHandle(ServletInvocableHandlerMethod.java:116) at org.springframework.web.servlet.mvc.method.annotation.RequestMappingHandlerAdapter.invokeHandlerMethod(RequestMappingHandlerAdapter.java:827) at org.springframework.web.servlet.mvc.method.annotation.RequestMappingHandlerAdapter.handleInternal(RequestMappingHandlerAdapter.java:738) at org.springframework.web.servlet.mvc.method.AbstractHandlerMethodAdapter.handle(AbstractHandlerMethodAdapter.java:85) at org.springframework.web.servlet.DispatcherServlet.doDispatch(DispatcherServlet.java:963) at org.springframework.web.servlet.DispatcherServlet.doService(DispatcherServlet.java:897) at org.springframework.web.servlet.FrameworkServlet.processRequest(FrameworkServlet.java:970) at org.springframework.web.servlet.FrameworkServlet.doPost(FrameworkServlet.java:872) at javax.servlet.http.HttpServlet.service(HttpServlet.java:647) at org.springframework.web.servlet.FrameworkServlet.service(FrameworkServlet.java:846) at javax.servlet.http.HttpServlet.service(HttpServlet.java:728) at org.apache.catalina.core.ApplicationFilterChain.internalDoFilter(ApplicationFilterChain.java:303) at org.apache.catalina.core.ApplicationFilterChain.doFilter(ApplicationFilterChain.java:208) at org.apache.tomcat.websocket.server.WsFilter.doFilter(WsFilter.java:52) at org.apache.catalina.core.ApplicationFilterChain.internalDoFilter(ApplicationFilterChain.java:241) at org.apache.catalina.core.ApplicationFilterChain.doFilter(ApplicationFilterChain.java:208) at org.apache.shiro.web.servlet.OncePerRequestFilter.doFilter(OncePerRequestFilter.java:112) at org.apache.catalina.core.ApplicationFilterChain.internalDoFilter(ApplicationFilterChain.java:241) at org.apache.catalina.core.ApplicationFilterChain.doFilter(ApplicationFilterChain.java:208) at org.apache.shiro.web.servlet.AdviceFilter.executeChain(AdviceFilter.java:108) at org.apache.shiro.web.servlet.AdviceFilter.doFilterInternal(AdviceFilter.java:137) at org.apache.shiro.web.servlet.OncePerRequestFilter.doFilter(OncePerRequestFilter.java:125) at org.apache.catalina.core.ApplicationFilterChain.internalDoFilter(ApplicationFilterChain.java:241) at org.apache.catalina.core.ApplicationFilterChain.doFilter(ApplicationFilterChain.java:208) at org.apache.shiro.web.servlet.ProxiedFilterChain.doFilter(ProxiedFilterChain.java:61) at org.apache.shiro.web.servlet.AdviceFilter.executeChain(AdviceFilter.java:108) at org.apache.shiro.web.servlet.AdviceFilter.doFilterInternal(AdviceFilter.java:137) at org.apache.shiro.web.servlet.OncePerRequestFilter.doFilter(OncePerRequestFilter.java:125) at org.apache.shiro.web.servlet.ProxiedFilterChain.doFilter(ProxiedFilterChain.java:66) at com.dips.core.support.BackSiteFilter.doFilter(BackSiteFilter.java:50) at org.apache.shiro.web.servlet.ProxiedFilterChain.doFilter(ProxiedFilterChain.java:66) at org.apache.shiro.web.servlet.AbstractShiroFilter.executeChain(AbstractShiroFilter.java:449) at org.apache.shiro.web.servlet.AbstractShiroFilter$1.call(AbstractShiroFilter.java:365) at org.apache.shiro.subject.support.SubjectCallable.doCall(SubjectCallable.java:90) at org.apache.shiro.subject.support.SubjectCallable.call(SubjectCallable.java:83) at org.apache.shiro.subject.support.DelegatingSubject.execute(DelegatingSubject.java:383) at org.apache.shiro.web.servlet.AbstractShiroFilter.doFilterInternal(AbstractShiroFilter.java:362) at org.apache.shiro.web.servlet.OncePerRequestFilter.doFilter(OncePerRequestFilter.java:125) at org.springframework.web.filter.DelegatingFilterProxy.invokeDelegate(DelegatingFilterProxy.java:346) at org.springframework.web.filter.DelegatingFilterProxy.doFilter(DelegatingFilterProxy.java:262) at org.apache.catalina.core.ApplicationFilterChain.internalDoFilter(ApplicationFilterChain.java:241) at org.apache.catalina.core.ApplicationFilterChain.doFilter(ApplicationFilterChain.java:208) at org.springframework.orm.jpa.support.OpenEntityManagerInViewFilter.doFilterInternal(OpenEntityManagerInViewFilter.java:178) at org.springframework.web.filter.OncePerRequestFilter.doFilter(OncePerRequestFilter.java:107) at org.apache.catalina.core.ApplicationFilterChain.internalDoFilter(ApplicationFilterChain.java:241) at org.apache.catalina.core.ApplicationFilterChain.doFilter(ApplicationFilterChain.java:208) at org.springframework.web.filter.RequestContextFilter.doFilterInternal(RequestContextFilter.java:99) at org.springframework.web.filter.OncePerRequestFilter.doFilter(OncePerRequestFilter.java:107) at org.apache.catalina.core.ApplicationFilterChain.internalDoFilter(ApplicationFilterChain.java:241) at org.apache.catalina.core.ApplicationFilterChain.doFilter(ApplicationFilterChain.java:208) at org.springframework.web.filter.HttpPutFormContentFilter.doFilterInternal(HttpPutFormContentFilter.java:105) at org.springframework.web.filter.OncePerRequestFilter.doFilter(OncePerRequestFilter.java:107) at org.apache.catalina.core.ApplicationFilterChain.internalDoFilter(ApplicationFilterChain.java:241) at org.apache.catalina.core.ApplicationFilterChain.doFilter(ApplicationFilterChain.java:208) at org.springframework.web.filter.HiddenHttpMethodFilter.doFilterInternal(HiddenHttpMethodFilter.java:81) at org.springframework.web.filter.OncePerRequestFilter.doFilter(OncePerRequestFilter.java:107) at org.apache.catalina.core.ApplicationFilterChain.internalDoFilter(ApplicationFilterChain.java:241) at org.apache.catalina.core.ApplicationFilterChain.doFilter(ApplicationFilterChain.java:208) at org.springframework.web.filter.CharacterEncodingFilter.doFilterInternal(CharacterEncodingFilter.java:197) at org.springframework.web.filter.OncePerRequestFilter.doFilter(OncePerRequestFilter.java:107) at org.apache.catalina.core.ApplicationFilterChain.internalDoFilter(ApplicationFilterChain.java:241) at org.apache.catalina.core.ApplicationFilterChain.doFilter(ApplicationFilterChain.java:208) at org.springframework.boot.web.support.ErrorPageFilter.doFilter(ErrorPageFilter.java:115) at org.springframework.boot.web.support.ErrorPageFilter.access$000(ErrorPageFilter.java:59) at org.springframework.boot.web.support.ErrorPageFilter$1.doFilterInternal(ErrorPageFilter.java:90) at org.springframework.web.filter.OncePerRequestFilter.doFilter(OncePerRequestFilter.java:107) at org.springframework.boot.web.support.ErrorPageFilter.doFilter(ErrorPageFilter.java:108) at org.apache.catalina.core.ApplicationFilterChain.internalDoFilter(ApplicationFilterChain.java:241) at org.apache.catalina.core.ApplicationFilterChain.doFilter(ApplicationFilterChain.java:208) at org.apache.catalina.core.StandardWrapperValve.invoke(StandardWrapperValve.java:218) at org.apache.catalina.core.StandardContextValve.invoke(StandardContextValve.java:110) at org.apache.catalina.authenticator.AuthenticatorBase.invoke(AuthenticatorBase.java:506) at org.apache.catalina.core.StandardHostValve.invoke(StandardHostValve.java:169) at org.apache.catalina.valves.ErrorReportValve.invoke(ErrorReportValve.java:103) at org.apache.catalina.valves.AccessLogValve.invoke(AccessLogValve.java:962) at org.apache.catalina.core.StandardEngineValve.invoke(StandardEngineValve.java:116) at org.apache.catalina.connector.CoyoteAdapter.service(CoyoteAdapter.java:452) at org.apache.coyote.http11.AbstractHttp11Processor.process(AbstractHttp11Processor.java:1087) at org.apache.coyote.AbstractProtocol$AbstractConnectionHandler.process(AbstractProtocol.java:637) at org.apache.tomcat.util.net.JIoEndpoint$SocketProcessor.run(JIoEndpoint.java:316) at java.util.concurrent.ThreadPoolExecutor.runWorker(ThreadPoolExecutor.java:1145) at java.util.concurrent.ThreadPoolExecutor$Worker.run(ThreadPoolExecutor.java:615) at org.apache.tomcat.util.threads.TaskThread$WrappingRunnable.run(TaskThread.java:61) at java.lang.Thread.run(Thread.java:745)



